class: left, middle, inverse, title-slide # L10: Simple time-varying exposures ###
Jess Edwards,
jessedward@unc.edu
Epidemiology, UNC Chapel Hill
###
EPID 722
Spring 2021
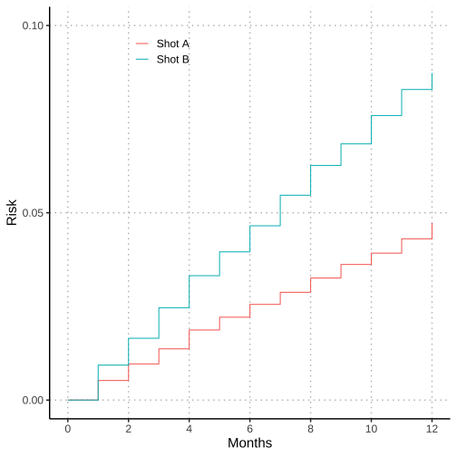
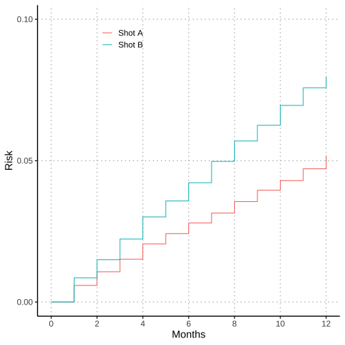
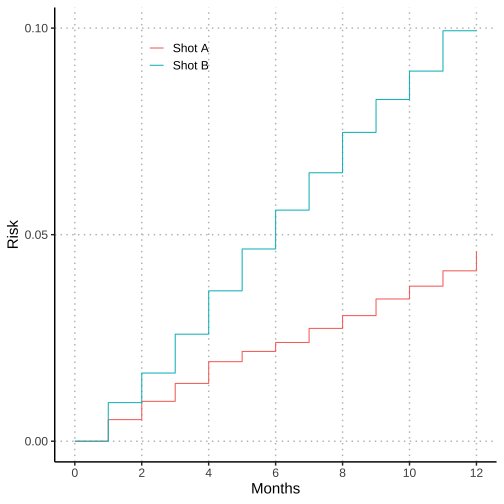
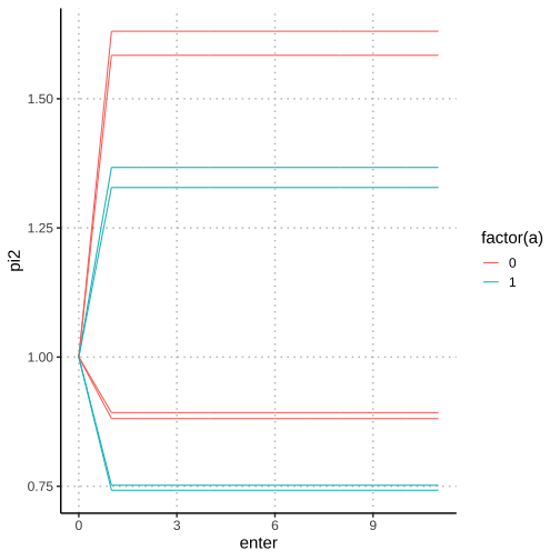
--- <style> .center2 { margin: 0; position: absolute; top: 25%; } .center3 { margin: 0; position: absolute; top: 30%; } </style> # Where are we? **Reading:** Lu H, Cole SR, Westreich D, Hudgens MG, Adimora AA, Althoff KN, Silverberg MJ, Buchacz K, Li J, Edwards JK, Rebeiro PF. Clinical Effectiveness of Integrase Strand Transfer Inhibitor–Based Antiretroviral Regimens Among Adults With Human Immunodeficiency Virus: A Collaboration of Cohort Studies in the United States and Canada. Clinical Infectious Diseases. 2020 Aug 11. **Today:** Introduction to (simple) time varying exposures **Thursday:** Exercise and discussion --- # Why do exposures vary over time? Interventions are often static: - Ban chemical X - Treat condition Y using drug Z for the duration of illness But when estimating the effects of these (often hypothetical) interventions using observational data, we often see that exposure varies over time. For example: - Exposure to chemical X changes when people move or get a new job - People discontinue drug Z due to side effects --- # DAGs for time-varying exposures <br><br><br><br> .center[ <img src="img/10/dag1.png" width="40%" /> ] --- # DAGs for time-varying exposures <br><br><br><br> .center[ <img src="img/10/dag2.png" width="40%" /> ] --- # A simple scenario This week, we will begin to think about time varying exposures in a simple setting: > You are studying a possible treatment for disease X, which currently has no available treatments. > You perform a trial in which you recruit people with disease X and randomize them to no treatment or treatment with Drug A for the duration of illness. >Some people who you randomize to Drug A discontinue treatment during the year. >You want to compare the probability of recovery by 1 year. > Assume no loss to follow-up and no deaths or other competing events occured during the course of the study. --- # Example DAG .center[ <img src="img/10/exdag1.png" width="40%" /> ] --- # Choosing a parameter What do we want to estimate? **Choices** The <span style="color:red">"intent-to-treat" </span> parameter: What would the probability of recovery have been if I had assigned everyone to take drug A vs if I had assigned everyone to no treatment? - We estimate risk in the treatment arm without regard to treatment discontinuation -- The <span style="color:red">"per protocol" </span> parameter: What would the probability of recovery have been if I had assigned everyone to take drug A and they had taken it throughout follow-up vs if I had assigned everyone to no treatment? - We perform a second "intervention" to prevent treatment discontinuation -- .footnote[[*] "Intent-to-treat" and "per protocol" are just words. Do not expect everyone who uses these words to refer to the same parameters. If the parameter of interest is unclear, ask!] --- # Example DAG, revisited .center[ <img src="img/10/exdag1.png" width="40%" /> ] --- # Statistical analyses We will discuss how to conduct analyses to estimate the "intent-to-treat" and "per protocol" parameters. 1. How are the data organized? 2. What estimators are used? --- # Example data records <img src="img/10/t1.png" width="40%" /> --- # "Intent-to-treat" analysis ## Data set-up .pull-left[ <img src="img/10/t1.png" width="60%" /> ] .pull-right[ <img src="img/10/lines1.png" width="100%" /> ] --- # "Intent-to-treat" analysis ## Data set-up .pull-left[ <img src="img/10/t1.png" width="60%" /> ] .pull-right[ <img src="img/10/lines2.png" width="100%" /> ] --- # "Intent-to-treat" analysis .pull-left[ <img src="img/10/t1.png" width="70%" /> ] .pull-right[ **Arm 1: No treatment**. Kaplan-Meier estimator of the risk of recovery, limited to the no treatment arm <br> <br> **Arm 2: Assign Drug A**. Kaplan-Meier estimator of the risk of recovery, limited to those assigned drug A ] -- Or, estimate HR using `$$h^{itt}(t) = h_0(t)\exp(\beta A_0)$$` --- # "Intent-to-treat" analysis Why can we use crude comparisons of unweighted risk functions in this example? --- # "Per protocol" analysis Challenge: We want to know what would have happened had everyone in the treatment arm remained on treatment throughout follow-up, **but some participants discontinued treatment**. <br><br> Solution: Censor people when they stop following the "protocol" (i.e., at treatment discontinuation). <br><br> Account for this _informative censoring_ using IPW. --- ## Recall, DAG .center[ <img src="img/10/exdag1.png" width="40%" /> ] --- # Data setup **Step 1**: Reorganize data to capture time-updated covariates, if necessary <img src="img/10/expand.png" width="70%" /> --- # Data setup **Step 2**: Censor at treatment discontinuation <img src="img/10/censor.png" width="70%" /> --- # "Per protocol" analysis with IPW **Step 3**: Use IPW to account for informative censoring induced in the previous step. -- **Arm 1: No treatment**. Limit dataset to those randomized to no treatment. No discontinuation, so everyone has a weight of 1 for entire period. **Arm 2: Continuous treatment**. Limit dataset to those randomized to treatment, censor at treatment discontinuation, and apply IPCW. -- Let `\(T_D\)` represent the time of treatment Discontinuation. `$$\pi_D=\frac{P(T_D>t|A_0)}{P(T_D>t|Z_t, A_0)}$$` -- Let `\(D(t)\)` be an indicator of treatment discontinuation at time `\(t\)` `$$\pi_D= \prod_{out=1}^{\lceil t \rceil }\frac{1-P(D_{out}=1|D_{in}=0, A_0)}{1-P(D_{out}=1|\bar{D}_{in}=0, Z_{in}, A_0)}$$` -- We can estimate `\(P(D_{out}=1|D_{in}=0, Z_{in{}}, A_0)\)` using pooled logistic regression. --- # "Per protocol" analysis with IPW **Step 3**: Use IPW to account for informative censoring induced in the previous step. **Arm 1: No treatment**. Limit dataset to those randomized to no treatment. No discontinuation, so everyone has a weight of 1 for entire period. **Arm 2: Continuous treatment**. Limit dataset to those randomized to treatment, censor at treatment discontinuation, and apply IPCW. <img src="img/10/pi.png" width="70%" /> --- # "Per protocol" analysis with IPW **Step 3**: Use IPW to account for informative censoring induced in the previous step. **Arm 1: No treatment**. Limit dataset to those randomized to no treatment. No discontinuation, so everyone has a weight of 1 for entire period. **Arm 2: Continuous treatment**. Limit dataset to those randomized to treatment, censor at treatment discontinuation, and apply IPCW. <img src="img/10/censor3.png" width="70%" /> ??? why does P(D|AZ) change over time? model includes time why does P(D|A change over time) same --- # "Per protocol" analysis with IPW **Step 4**: Apply IPW **Arm 1: No treatment**. Kaplan-Meier estimator of the risk of recovery, limited to the no treatment arm. **Arm 2: Continuous treatment**. Kaplan-Meier estimator of the risk of recovery, limited to the treatment arm in the time prior to discontinuation, and weighted by `\(\pi_D\)` -- Or, estimate weighted HR using `$$h^a(t) = h_0(t)\exp(\beta a)$$` --- # Why not use regression adjustment to account for confounding? <br><br><br> .center[ <img src="img/10/exdag1.png" width="40%" /> ] --- # Extend to settings with baseline confounding What if `\(A_0\)` were not randomized? <br><br> .center[ <img src="img/10/exdat2.png" width="40%" /> ] -- <br><br> We would need to account for confounding of both `\(A_0\)` and `\(A_t\)`. <br><br> Solution: Set `\(\pi(t) = \pi_A \times \pi_D(t)\)` --- # Extend to settings with baseline confounding **Step 1:** Fit time-fixed inverse probability of treatment weight. `$$\pi_A =\frac{P(A_0=a)}{P(A_0=a|Z_0)}$$` **Step 2:** Fit time-varying inverse probability of treatment discontinuation `$$\pi_D =\frac{P(T_D>t|A_0)}{P(T_D>t|A_0, Z_0, \bar{Z}_t)}$$` **Step 3:** Apply `\(\pi(t)\)` to KM estimators to obtain risk estimates or Cox model to obtain HR --- # Other types of time-varying exposures What we discussed today: <br><br> .center[ <img src="img/10/pp1.png" width="50%" /> ] --- # Other types of time-varying exposures An alternative: allow people to "late enter" treatment plans <br><br> .center[ <img src="img/10/at1.png" width="50%" /> -- <img src="img/10/at2.png" width="50%" /> ] --- # Other types of time-varying exposures For an example, see >Hernán MÁ, Brumback B, Robins JM. Marginal structural models to estimate the causal effect of zidovudine on the survival of HIV-positive men. Epidemiology. 2000 Sep 1:561-70. --- # Other types of time-varying exposures Another alternative: allow people to contribute to multiple plans at the same time. <br><br> **Example:** Estimate the effect of starting treatment within 3 months of diagnosis compared to not starting within the first 3 months --- # Other types of time-varying exposures Another alternative: allow people to contribute to multiple plans at the same time. .center[ <img src="img/10/wts.png" width="50%" /> ] --- # Other types of time-varying exposures Another alternative: allow people to contribute to multiple plans at the same time. **Example:**: > Cain LE, Robins JM, Lanoy E, Logan R, Costagliola D, Hernán MA. When to start treatment? A systematic approach to the comparison of dynamic regimes using observational data. The international journal of biostatistics. 2010 Apr 13;6(2). --- # Example: Infant flu shots > Infants require 2 doses of the flu shot, 1 month apart. > Consider a hypothetical example in which 2 "brands" of flu shot are available. You want to compare the risk of flu over 1 year if all infants received shot A vs if all infants received shot B. > When the first dose is given, parents receive a notice to return for the second shot. .center[ <img src="img/10/ex2dag.png" width="40%" /> ] --- # Example: outline We will estimate the - "Intent to treat" (ITT) parameter: What if all infants were given a first dose of flu shot A vs what if all infants received a first dose of flu shot B? - "Per protocol" (PP) parameter: What if all infants were given both doses of flu shot A vs what if all infants received both doses of flu shot B? <br><br> We will estimate risk functions under each plan and compute an HR each analysis above (ITT and PP). --- # Example: data **Shot A**: 4971 participants elected shot A. - 41% had covariate `\(Z_0=1\)` at baseline - of infants receiving shot A, 25% had noticeable side effects of the first dose - 65% followed-up with a second dose **Shot B**: 5029 participants elected shot B. - 58% had covariate `\(Z_0=1\)` at baseline - of infants receiving shot B, 57% had noticeable side effects of the first dose - 55% followed-up with a second dose. --- # ITT (crude) .pull-left[ - Stratified by `\(A_0\)` - Estimated risk in each group RR: 1.85 (95% CI: 1.58, 2.15) HR: 1.89 (95% CI: 1.61, 2.21) ] .pull-right[ <!-- --> ] --- # ITT (weighted) .pull-left[ - Stratified by `\(A_0\)` - Estimated inverse probability of treatment weights `\(\frac{P(A_0=a)}{P(A_0=a|Z_0)}\)` - Estimated risk in each group using weighted KM - Estimated HR using weighted Cox model RR: 1.54 (95% CI: 1.32, 1.8) HR: 1.56 (95% CI: 1.33, 1.83) ] .pull-right[ <!-- --> ] --- # Per protocol analysis (crude) .pull-left[ - Reshaped dataset to have 1 record per person-period; augmented with time varying covariates - Stratified by `\(A_0\)` - Censored after 1 month if infant did not receive second dose (removed 38678 rows) - Estimated risk in each group (after censoring at discontinuation) using KM - Estimated HR using Cox model RR: 2.3 (95% CI: 1.91, 2.76) HR: 2.29 (95% CI: 1.9, 2.77) ] .pull-right[ <!-- --> ] --- # Per protocol analysis (weighted) .pull-left[ - Stratified by `\(A_0\)` - Censored after 1 month if infant did not receive second dose (removed 38678 rows) - Fit logistic regression model for probability of discontinuation given `\(A_0, Z_0,\)` and `\(Z_1\)` (denominator model) - Fit logistic regression model for probability of discontinuation given `\(A_0\)` (numerator model) - Estimated inverse probability of discontinuation weights `\(\pi_D=\prod_{k=1}^{\lceil t \rceil}\frac{1-P(D=1|A_0)}{1-P(D=1|A_0, Z_0, Z_1)}\)` - In this case, `\(\pi_D = 1\)` in month 1, otherwise it is the inverse probability of receiving the second dose ] .pull-right[ <!-- --> ] --- # PP (weighted) .pull-left[ - Final weight is `\(\pi = \pi_A\times \pi_D\)` - Estimated risk in each group (after censoring at discontinuation) using KM weighted by `\(\pi\)` - Estimated HR using Cox model weighted by `\(\pi\)`. RR: 1.73 (95% CI: 1.43, 2.09) HR: 1.71 (95% CI: 1.41, 2.07) ] .pull-right[ <!-- --> ] --- # Discussion points "Protocols" can be as simple or as complex as you wish - In the reading, some types of treatment switch were not counted as protocol deviations. Why? -- Just because you _can_ run a per protocol analysis doesn't mean you want to. - When might the ITT be useful? -- The reading mentioned this idea of emulating a randomized trial using observational data. Why might this be useful?